NewsRoom
Experimental validation of steel slag as thermal energy storage material in a 400 kWht prototype
Expertise in CSP is moving to China
Expertise in CSP is moving to China
Trajectory of CSP deployment
IMAGE @ CSPPLAZA Low construction rates 2015-17 hit the CSP industry hard, and many suppliers were struggling financially or left the market altogether
The Dragon Awakens: Will China Save or Conquer Concentrating Solar Power?
PROMES at Odeillo in the French Pyranees IMAGE@Sascha Burkhardt
PROMES at Odeillo in the French Pyranees IMAGE@Sascha Burkhardt
Heliostats in IMAGE @ Sascha Burkhardt
Odeillo-solar-furnace testing site
At PROMES
presented
DCIM100MEDIADJI_0042.JPG
Kathu CSP Solar in South Africa IMAGE@SENER.jpg
DCIM100MEDIADJI_0032.JPG
DCIM100MEDIADJI_0032.JPG
SENER-Ilanga-1-CSP-starts-in-South-Africa-IMAGE@-SENER.jpg
SENER-Ilanga-1-CSP-starts-in-South-Africa-IMAGE@-SENER.jpg
CSP4Climate–
Conference sponsors
Glasspoint industrial heat greenhouses EOR –
Glasspoint industrial heat greenhouses EOR – —
Parabolic trough in solar themal energy –
Parabolic trough in solar themal energy
a solar
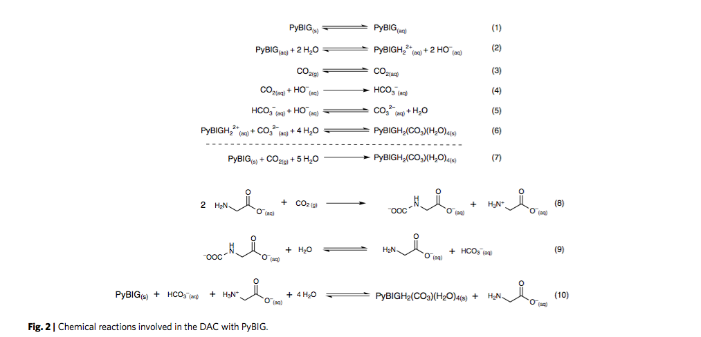
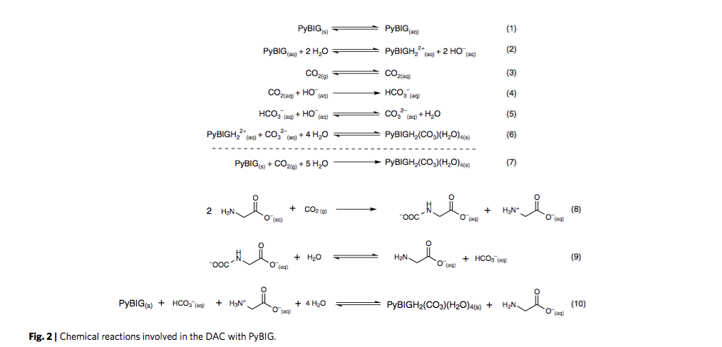
ORNL CO2 air capture chemical reaction
IMAGE@ Radu
CSP Growth to 2023
Latest In:
CSP News & Analysis
SolarPACES Announcements
CSP News Briefs
CSP Tech Explainers















































